精微高博公众号
北京精微高博仪器有限公司
Sales@jwgb.net
比表面积分析仪
介孔孔径分析仪
微孔孔径分析仪
化学吸附仪
反应评价装置
蒸汽吸附仪
穿透曲线分析仪
真密度仪
压汞仪
高压吸附仪
热分析仪
X射线衍射仪
脱气机
质谱仪
相关配件
比表面积分析仪
介孔孔径分析仪
微孔孔径分析仪
化学吸附仪
反应评价装置
蒸汽吸附仪
穿透曲线分析仪
真密度仪
压汞仪
高压吸附仪
热分析仪
X射线衍射仪
脱气机
质谱仪
相关配件
paper
a b s t r a c t
Hybrid nanocomposites of zeolitic imidazolate framework-8 (ZIF-8) and graphene oxide (GO) were prepared in a methanol system at room temperature. The ZIF-8/GO composites exhibited tunable nanoscale morphology and porosity, both determined by the GO content. A series of characterization techniques confirmed the formation of strong interactions between ZIF-8 and GO in the synthesized composites. The as-synthesized ZIF-8/GO composites were composed of aggregated nano-sized particles,and exhibited a higher volatile organic compounds (VOCs) uptake capacity than normal ZIF-8 crystal owing to the synergistic effect between ZIF-8 and graphene oxide(GO). Also an increase in the content of GO resulted in enhancing in the VOCs adsorption capacity, and the maximum adsorption capacity for VOCs was up to 240 mg/g on ZIF-8/GO with the GO content of 15 wt%. The synergistic interactions of ZIF-8 and GO may provide a new path to fabricate novel ZIFs/GO composites for a wide range of applications such as adsorption.
1. Introduction
As the principle member of volatile organic compounds (VOCs),methylene chloride has become the main pollutant in the air, and how to dispose it has attracted the social attention.Methods such as biological treatment, distillation, adsorption, and catalytic oxidation have been used for the removal of VOCs. One of the most effective methods for VOCs control is adsorption, the adsorbent is important for enhancing VOCs uptake capacity. To find a more economical and effective adsorbent to handle VOCs, many scientific research workers dedicated themselves to preparing materials and Recently, zeolitic imidazolate frameworks (ZIFs), the sub-family of metal-organic frameworks (MOFs), have attracted increasing attention. Similar to traditional zeolites, ZIF-8 possesses diverse structures, where typically Zn2þ ions play the role of silicon while the imidazolate anions form bridges which mimic the role of oxygen in zeolite frameworks, with the ZneImeZn angle around 145 , already obtained many significant achievements [1e5]. These achievements provided new solutions to VOCs pollution, but they were not suitable to widely use in industrial application. Moreover, some of them may cause secondary pollution.
Recently, zeolitic imidazolate frameworks (ZIFs), the sub-family of metal-organic frameworks (MOFs), have attracted increasing attention. Similar to traditional zeolites, ZIF-8 possesses diverse structures, where typically Zn2þ ions play the role of silicon while the imidazolate anions form bridges which mimic the role of oxygen in zeolite frameworks, with the ZneImeZn angle around 145 ,and considered to be a efficient and recyclable adsorbent due to the exceptional chemical and thermal stabilities as well as an ultrahigh surface area and abundant functionalities. This has triggered great interests in their promising and potential applications in gas separation [6e8] and adsorption [9e12], catalysis [13], sensors [14].
On the other hand, the graphene and graphene-based materials have become the focus in the last few years. Graphene oxide (GO),an important precursor for graphene, has a layered structure with plenty of functional groups [15e17]. Owing to its unique structure,GO has been widely utilized in the preparation of composite materials with promising adsorptive properties. Actually, MOFs-based graphite oxide composites have been investigated for various applications. For instance, Bandosz and colleagues reported the synthesis of MOF-5 and graphite oxide hybrid composites for the adsorption of ammonia [18]. The same group found that the composites of copper-based MOF with animated GO can enhance CO2 adsorption efficiency [19,20]. Rao and co-workers generated hybrid composites of GO with ZIF-8, which exhibited tunable nanoscale morphology and good CO2 uptake at 195 K [21]. Recently, Yongde Xia and co-workers synthesized composites which showed enhanced CO2 adsorption energy and significant CO2 storage capacity [22]. However, adsorption of VOCs on the ZIFs/GO composites has rarely been reported. In this work, we present a simple and valid synthesis method to produce ZIF-8/GO composites. These hybrid ZIF-8/GO composites largely maintain the high texturalproperties and large surface area, and the morphology and porosity of crystals are tunable via control over the amount of GO. The resulting ZIF-8/GO composites were demonstrated to improve methylene chloride adsorption capacity.
2. Experimental
2.1. Materials
Zinc nitrate hexahydrate (Zn(NO3)2$6H2O, 98%) was obtained from Acros. Methanol (MeOH, 98%) and 2-methyl imidazole (Hmim, 99%) were obtained from SigmaeAldrich. All materials are of analytical reagent grade and were used without any further purification.
2.2. Materials preparation
2.2.1. Preparation of nanoscale ZIF-8 crystals
Nanoscale ZIF-8 was prepared according to the literature procedure reported by Wiebcke et al. [23]. In a typical synthesis, 734mg of Zn(NO3)2$6H2O were dissolved in 50 ml of methanol and 811 mg of 2-methyl imidazole were dissolved in another 50 ml of methanol. Then the zinc nitrate solution was mixed with the 2-MeIM solution and stirred for 1 h at room temperature. Overall,the metal:ligand:MeOH molar ratios were 1:4:1250. Nanoscale ZIF-8 crystals were obtained by centrifugating, thoroughly washed with methanol and deionized water for three times and then dried at 75 C overnight.
2.2.2. Preparation of microscale ZIF-8 crystals
In a typical synthesis, 744 mg of Zn(NO3)2$6H2O were dissolved in 50 ml of methanol and 411 mg of 2-methyl imidazole were dissolved in another 50 ml of methanol. Then the zinc nitrate solution was mixed with the 2-MeIM solution and stirred for 1 h at room temperature. Overall, the metal:ligand:MeOH molar ratios were 1:2:1250. The subsequent steps were in accordance with the nanoscale ZIF-8 crystals.
2.2.3. Preparation of ZIF-8/GO hybrid nanocomposites
ZIF-8/GO hybrid nanocomposites were prepared according to the literature procedure reported by Rao et al. [21]. Firstly, GO powder was dispersed in methanol, followed by 4 h sonication to obtain GO suspension. Aiming to obtain the ZIF-8/GO composites, different wt% of GO suspension was added during the synthesis of ZIF-8 crystals in the stirring process. Secondly, the resultant was centrifuged and washed for 3 times with methanol and dried at 50 C. It was found that the ZIF-8/GO composites cannot be prepared successfully and the samples may be physical or mechanical mixing as the mass fraction of GO was over than 15%. The resulting product obtained by variation of GO content were denoted by ZIF-8/GO-X which indicated X wt% (X ¼ 2, 4, 6 10 and 15 wt %) of GO. The ZIF-8/GO-X samples were designated as ZG-X(ZG-2, ZG-4, ZG-6, ZG-10 and ZG-15) according to the mass fraction of GO.
2.3. Characterization
X-ray diffraction (XRD) patterns were measured on a BRUKERD8 ADVANCE diffractometer with Cu ka radiation at 40 KV and30 mA. The fourier-transform infrared (FTIR) spectrawere obtained using a SPECTRUM 400 system. The as-synthesized samples were measured in the wavenumber of 4000e450 cm1. Scanning electron microscopy (SEM) images were carried out on a Hitachi S-4300 field emission scanning electronic microscope. The N2 adsorptionedesorption isotherms were collected at 77 K on a JWBK122W.The samples were degassed at 160 C for 18 h prior to the measurement. The BET surface areawas calculated based on the data from N2 adsorption within the range of relative pressure from 0.005 to 0.3.
2.4. Adsorption measurement
The experimental system for the fixed-bed operation is shown in Fig. 1, and the fixed-bed was made of a quartz tube with 5 mm inner diameter and 10 cm in height. Adsorption measurement was carried out in the fixed bed using a continuous flow reactor at room temperature. The obtained samples were loaded in a quartz tube.The flow meter was used to adjust the flow rates of air in order to keep the concentration of methylene chloride remained. Methylene chloride was used as the methylene chloride source, the initial concentration was 0.48 mg/ml. The flow rate of gaseous mixture was 20 ml/min. To obtain the breakthrough curve of the adsorption experiment, the gas concentration of inlet and outlet of the tube was detected by a gas chromatography (GC).
3. Results and discussion
3.1. Characterization of the as-synthesized ZIF-8 crystals and ZG composites
As shown in Fig. 2, compared with an XRD the patterns from simulated data, the XRD patterns obtained from Nano-ZIF-8 and the patterns taken from Micro-ZIF-8 all showed pure ZIF-8 structure without any other crystalline phase. And there were no significant difference between the peaks of Micro-ZIF-8 and the peaks of Nano-ZIF-8. The XRD patterns of the ZG-X composites with different GO content also showed the reflection of ZIF-8 crystalline.With an increase of GO content, a new broad peak appeared and heightens at 2q ¼ 8.5close to the characteristic peaks of ZIF-8,which could be attributed to GO. The small angle shift compared to that of GO indicated the intercalation of ZIF-8 crystals between the GO sheets. The ZG-X exhibited the only new peak from pristine GO without any other new ones regardless of GO content. Even if the content of GOwas up to 15%, the XRD patterns of ZG-X were still similar with the XRD patterns of pure ZIF-8. The results indicated that GO sheets may have the strong interaction with ZIF-8 crystals as an integral part of ZIF-8.
What's more, the FTIR spectra also proved the existence of the strong interactions between ZIF-8 and GO sheets in the ZG-X composites. All the ZG-X composites exhibited the similar FTIR spectra to pure ZIF-8. As shown in Fig. 3, there were no peaks or bands were consistent with in the as-synthesized ZG-X composites compared to the CaO stretching vibrations at 1790 cm1 and the CeO vibrations at 1068 cm1 in pure GO. The majority of the absorption bands for ZG-X composites were consistent with pristine ZIF-8 such as the bands at 1250e1500 cm1 which were associated with the imidazole ring stretching while the bands below 1250 cm1 were assigned with the out-of-plane bending and in-plane bending of the imidazole. The strong peak at 1541 cm1 could be assigned as the CaN stretch mode while the bands at 1126 and 936 cm1 could be assigned as the CeN stretching of the imidazole units. The results clearly indicated that the strong interactions were formed between ZIF-8 and GO in the ZG-X composites.

Fig. 1. Schematic diagram of the adsorption experimental system.

Fig. 2. XRD patterns of ZIF-8 and ZIF-8/GO nanocomposites.

Fig. 3. FTIR spectra of GO, ZIF-8 and ZG-X composites.

Fig. 4. Representative SEM images of as-synthesized ZIF-8 sample and ZG-X composites:
(a) Micro-ZIF-8, (b) Nano-ZIF-8, (c) ZG-2, (d) ZG-4, (e) (f) ZG-6, (g) (h) ZG-10, (i) (j) ZG-15.
The morphologies of ZIF-8 and ZG-X composites were examined by SEM images and all samples showed aggregated nanoparticles. The pure Micro-ZIF-8 and Nano-ZIF-8 showed hexagonal morphology with the particle sizes in the range of 1000e1500 nm and in the range of 100e200 nm as shown in Fig. 4 (a) and (b), respectively. Similar hexagonal morphology was found on the ZG-X composites and the dense GO sheets act as a platform for the nanoscale ZIF-8 crystals growth (Fig. 4 (g), (h), (i), (j)). As can be seen from the SEM images, the particle size of Nano-ZIF-8 was adjustable by controlling the amount of GO. The particle size of ZG-2 which was similar with the pure ZIF-8 was about 200 nm. With the increasing the content of GO, the particle size of ZIF-8 decreases in ZG-4. Upon increasing the GO content to 4 wt%, the particle size decreased to 130 nm in ZG-6. Actually, when the GO content in the ZG-15 composites further increased up to 15 wt%, the average particle size in the resulting ZG-15 sample decreased to 60 nm. It can be inferred that the GO sheets act as both size-controlling and structure-directing agents for ZIF-8 crystals. Fig. 5.

Fig. 5. Nitrogen sorption isotherms measured at 77 K for sample Micro-ZIF-8 and Nano-ZIF-8.
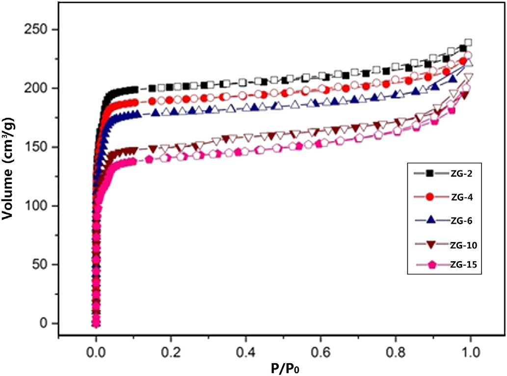
Textural parameters such as BET surface area, Langmuir surface area, pore volume and pore size of the Micro-ZIF-8, Nano-ZIF-8 and ZG-X composites were obtained from N2 adsorptionedesorption measurements at the same condition. All seven samples exhibited N2 adsorptionedesorption isotherms of a mode of type I. The isotherms of synthesized ZG-X composites displayed a steep rise under low relative pressure, indicating those composites are micropore dominated materials, while a second slight rise at high relative pressure indicated the existence of mesopores, which are in agreement with the pure ZIF-8 material. In addition, as summarized in Table 1, the surface areas of the ZG-X composites were tunable by controlling over the GO content. The BET surface areas of resulting Micro-ZIF-8 and Nano-ZIF-8 were 1185.8 and 1768.9m2/g,and the Langmuir surface areas were 1324.7 and 1961.9 m2/g,respectively. The high surface area of our ZIF-8 samples showed that the crystals have fully developed microstructure with high crystallinity. The BET surface area of the ZG-X composites decreased compared to pristine ZIF-8 with increasing GO content.Thus, the surface areas of ZG-2, ZG-4, ZG-6, ZG-10 and ZG-15 were 860.6, 778.1, 722.1, 605.3, 559.3 m2/g, respectively. The decrease in surface area of the ZG-X composites may be due to an increasing proportion of nonporous GO which can block the pore channels of ZIF-8. However, the degree of reduction of ZG-X was smaller than that earlier reported [21].

As summarized in Table 2, with an increase in the GO content,the medium pore size distribution of the ZG-X composites showed a slight increase. The micropore volume decreased slightly from 0.27 in ZG-2 to 0.20 cm3/g in ZG-15. This might be due to the fact that the surface area of GO in the composite is smaller than ZIF-8,resulting in less surface area per unit weight of the materials.And the micropore volume in ZG-X composites was far less than 0.40 in Micro-ZIF-8 and 0.58 cm3/g in Nano-ZIF-8. Unsurprisingly,the change in micropore volume was consistent with the pore volume in ZG-X and pure ZIF-8.
The conclusion from textural parameters and SEM images clearly demonstrated that the ZG-X composites are not just a physical mixture. There may be not only a new porosity between GO and ZIF-8 units, but also new structures where GO sheets could be embedded within ZIF-8 crystals. Fig. 6.

Fig. 6. Nitrogen sorption isotherms measured at 77 K for the ZG-X composites.

Fig. 7. Breakthrough curve of adsorption of methylene chloride by Nano-ZIF-8 and Micro-ZIF-8 samples (C0 ¼ 0.48 mg/ml).
3.2. Adsorption studies
Figs. 7 and 8 shows the breakthrough curves obtained at a similar inlet concentration for all synthetic adsorbents. The column characteristics obtained from the breakthrough curves were shown in Table 3. In this section, the parameters such as flow rate and bed depth were fixed at 20 ml/min and 10 cm, respectively. The time needed for breakthrough point (time when the outlet concentration is 2% of the inlet concentration, tr), the equilibrium point (time when the outlet and inlet concentrations are nearly identical, te),the equilibrium adsorption capacity (Mtf) and finally the degree of column utilization (C/C0) are shown in Table 3. According to the experiment results, it was found that the higher the content of GO and the higher pore size of the ZG-X composites, the longer the breakthrough time and the longer the equilibrium time which mean the better adsorbing performance. It can be speculated that the methylene chloride molecules find more difficulty in diffusing in ZG-2 with a narrow microporosity causing a decrease in the adsorption capacity and equilibrium time than ZG-X composites with higher GO content. It can be found in Table 3 that the equilibrium time of Micro-ZIF-8 and Nano-ZIF-8 was about 163 and 170 min and their adsorption capacity was 69 and 138 mg/g,respectively. The Nano-ZIF-8 performed better than the Micro-ZIF-8 owing to higher surface area. Generally, VOCs adsorption capacities of porous materials were in direct proportion to samples surface area. However, the adsorption capacities of five ZG-X composites samples which have the lower surface area were all higher than that of the pristine ZIF-8. Not only that, the ZG-X composites exhibited good methylene chloride adsorbing capacity and methylene chloride uptake increasing with the increasing of GO content. The result was consistent with the early report about the CO2 adsorption capacity of ZG-X composites [21,23]. The ZG-2 was a good adsorbent with an uptake capacity of 139 mg/g at the equilibrium time of 162 min, while the ZG-4 showed a methylene chloride uptake capacity of 156 mg/g at the equilibrium time of 169 min. ZG-6 exhibited methylene chloride uptake of about 182 mg/g at the equilibrium time of 192 min which increases further to 211 mg/g at the equilibrium time of 215 min in ZG-10 under same condition. The adsorption capacity of ZG-15 at the equilibrium time of 225 min which possessed the lowest surface area was the highest of all, up to 240 mg/g. As for the degree of column utilization, it was observed that it was at high level for all the samples and no relationship was found between this parameter and the textural properties of the adsorbents. According to the column characteristics that based on the experimental breakthrough curves, the unusual uptake can be attributed to the synergistic effect of GO and ZIF-8 as the latter with different functional groups provided specific interaction sites for methylene chloride molecule, and the pore sizes of ZG-X adsorbents are more approximate to the size of methylene chloride molecule. The synergistic effect may become the most important factor in adsorption than the others such as surface area, pore volume and pore size, so the ZG-X composites have a better performance in methylene chloride uptake. Therefore, the synthesized method of GO into the composites can effectively affect the textural properties and consequently perform remarkably on the methylene chloride uptake capacities. To the best of our knowledge, this is the first report of using ZIF-8/GO nanocomposites as the adsorbents of methylene chloride with tunable porosity and remarkable adsorption capacity.

4. Conclusion
In conclusion, preparation of pure ZIF-8 crystals and ZIF-8/GO hybrid nanocomposites was carried out in a methanol system. The formation of strong interactions between ZIF-8 and GO in the synthesized composites was confirmed by the XRD, FTIR, SEM images and N2 sorption measurement. It can be inferred that ZIF-8 is stabilized on the GO sheet surfaces through functional groups and the textual properties of the ZG-X composites are tunable by controlling over the concentration of GO. The GO sheets act as a structure-directing agent for the growth of ZIF-8 nanocrystals through coordination modulation. The surface areas and pore volumes of the ZG-X composites are smaller than those of the nanosized ZIF-8 and micro-sized ZIF-8, while the ZG-X composites exhibited excellent performance with high methylene chloride uptake compared to the pure ZIF-8. With the increase of the content of GO, the methylene chloride adsorption capacity enhanced, and the maximum adsorption capacity was up to 240 mg/g on ZG-15. We speculated that the significant methylene chloride uptake resulted from the strong interactions between some groups of GO and methylene chloride molecules. The synergistic interactions of ZIF-8 and GO may provide a vital path for the fabrication of multifunctional MOFs/GO composites for various applications.
Acknowledgment
This work was supported by the National Natural Science Foundation of China No. 21376026.
References
[1] Y. Luna, E. Otal, L.F. Vilches, J. Vale, X. Querol, C. Fernandez Pereira, Waste Manag. 27 (2007) 1877e1883.
[2] M. Nascimento, P.S.M. Soares, V.P. de Souza, Fuel 88 (2009) 1714e1719.
[3] I. Jedidi, S. Saïdi, S. Khemakhem, A. Larbot, N. Elloumi-Ammar, A. Fourati,A. Charfic, A.B. Salah, R.B. Amar, J. Hazard Mater. 172 (2009) 152e158.
[4] V.K. Singh, R.S. Singh, P.N. Tiwari, J.K. Singh, F. Gode, Y.C. Sharma, J. Water Resour. Prot. 2 (2010) 322e330.
[5] N. Koukouzas, C. Vasilatos, G. Itskos, I. Mitsis, A. Moutsatsou, J. Hazard. Mater.173 (2010) 581e588.
[6] J.R. Li, J. Sculley, H.C. Zhou, Chem. Rev. 112 (2012) 869e932.
[7] H. Bux, A. Feldhoff, J. Cravillon, M. Wiebcke, Y.S. Li, J. Caro, Chem. Mater. 23(2011) 2262e2269.
[8] M.C. McCarthy, V. Varela-Guerrero, G.V. Barnett, H.K. Jeong, Langmuir 26(2010) 14636e14641.
[9] R. Banerjee, H. Furukawa, D. Britt, C. Knobler, M. O'Keeffe, O.M. Yaghi, J. Am.Chem. Soc. 131 (2009) 3875e3877.
[10] A. Phan, C.J. Doonan, F.J. Uribe-Romo, C.B. Knobler, M. O'Keeffe, O.M. Yaghi,Acc. Chem. Res. 43 (2010) 58e67.
[11] L.J. Murray, M. Dinca, J.R. Long, Chem. Soc. Rev. 38 (2009) 1294e1314.
[12] C. Chen, J. Kim, D.A. Yang, W.S. Ahn, Chem. Eng. J. 168 (2011) 1134e1139.
[13] J.A. Thompson, C.R. Blad, N.A. Brunelli, M.E. Lydon, R.P. Lively, C.W. Jones,S. Nair, Chem. Mater. 24 (2012) 1930e1936.
[14] G. Lu, J.T. Hupp, J. Am. Chem. Soc. 132 (2010) 7832e7833.
[15] Stankovich, D.A. Dikin, G.H.B. Dommett, K.M. Kohlhaas, E.J. Zimney, E.A. Stach,R.D. Piner, S.T. Nguyen, R.S. Ruoff, Nature 442 (2006) 282e286.
[16] D.A. Dikin, S. Stankovich, E.J. Zimney, R.D. Piner, G.H.B. Dommett,G. Evmenenko, S.T. Nguyen, R.S. Ruoff, Nature 448 (2007) 457e460.
[17] S. Stankovich, D.A. Dikin, R.D. Piner, K.A. Kohlhaas, A. Kleinhammes, Y. Jia,Y. Wu, S.T. Nguyen, R.S. Ruoff, Carbon 45 (2007) 1558e1565.
[18] C. Petit, T.J. Bandosz, Adv. Mater. 21 (2009) 4753e4757.
[19] C. Petit, T.J. Bandosz, Dalton Trans. 41 (2012) 4027e4035.
[20] Y.X. Zhao, M. Seredych, Q. Zhong, T.J. Bandosz, RSC Adv. 3 (2013) 9932e9941.
[21] R. Kumar, K. Jayaramulu, T.K. Maji, C.N.R. Rao, Chem. Commun. 49 (2013)4947e4949.
[22] B. Chen, Y. Zhu, Y. Xia, RSC Adv. 5 (2015) 30464e30471.
[23] J. Cravillon, S. Münzer, S.-J. Lohmeier, A. Feldhoff, K. Huber, M. Wiebcke, Chem.Mater. 21 (2009) 1410e1412.