精微高博公众号
北京精微高博仪器有限公司
Sales@jwgb.net
比表面积分析仪
介孔孔径分析仪
微孔孔径分析仪
化学吸附仪
反应评价装置
蒸汽吸附仪
穿透曲线分析仪
真密度仪
压汞仪
高压吸附仪
热分析仪
X射线衍射仪
脱气机
质谱仪
相关配件
比表面积分析仪
介孔孔径分析仪
微孔孔径分析仪
化学吸附仪
反应评价装置
蒸汽吸附仪
穿透曲线分析仪
真密度仪
压汞仪
高压吸附仪
热分析仪
X射线衍射仪
脱气机
质谱仪
相关配件
applications

为了实现“双碳”目标,可以优化生产设备及工艺流程、开发高效能源技术从而提高能源利用率;其次优化能源结构,通过发展氢能、核能等新能源及再生能源;上述两种方式都可以减缓CO2的排放。但是在当前能源结构改变不大的前提下,想要实现大量的CO2减排,最便捷和高效的方式就是从化石燃料利用中分离CO2,并将其碳捕集利用与封存技术即二氧化碳捕集利用与存储技术(CCUS)。

【二氧化碳捕集利用与存储技术(CCUS)与固体吸附法】
二氧化碳捕集利用与存储技术(CCUS)在减少碳排放、平衡CO2浓度、实现更高经济效益方面发挥着重要作用。捕集CO2的方案主要有吸附法、膜分离法、吸收法等三种方法(见图1b)。其中固体吸附法通过吸附质与吸附剂表面形成弱的范德华力(物理吸附)或强的共价键(化学吸附),如二氧化碳分子被吸附到固体吸附剂的表面。固相吸附法具有众多吸附剂如分子筛、金属有机框架、活性炭等,同时应用变压吸附、变温吸附等单一或组合方案对CO2有效的分离;最重要的,固体吸附所需的设备实现自动化成本低,且运行费用低,得到高纯产品气。因此,固体吸附法在CCUS技术中发挥重要的作用。
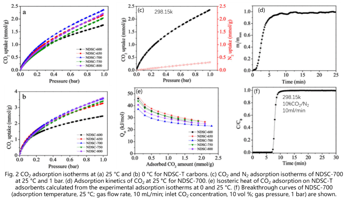
常用固体吸附剂如活性炭。对合成的活性炭材料表征常压条件下,零度及常温CO2吸附性能。如图2a、b、c所示,NDSC-800材料的微孔孔体积大,吸附量高;但是NDSC-700的常压吸附量是最高的,不仅微孔总孔体积大,而且含硫量高;证明窄微孔和S含量的组合决定CO2吸附性能。从常温热重分析(见图2d),CO2吸收的动力学分为两个阶段,在7分钟内达到90%平衡吸附容量,其主要由多孔样品裸孔和空位活性位点;当达到饱和吸附后,材料表面的吸附位点减少,吸附量几乎不变;基于动力学结果,吸附过程在短时间内有效地从烟气中去除了CO2分子。此外,计算NDSC-T样品在0和25°C下的单气体吸附等温线计算了等温吸附热,在接近零负载时,Qst值在37–48 kJ/mol的范围内,当吸附CO2后总体Qst值为23–48 kJ/mol;证明多孔样品和CO2分子之间的相互作用主要是物理吸附过程。更重要的是,研究了NDSC-700活性炭在实际工况下即常温常压、10%CO2/N2混气条件下,动态选择性吸附行为。从穿透曲线分析(见图2f),CO2吸附为S型曲线,穿透时间为6min;经过计算,实际工况下的吸附量达到0.72mmol/g。

实验方法:静态容量法N2物理吸附、动态法竞争性吸附行为
实验目的:材料比表面积、孔体积、孔径分布表征;吸附分离效率及选择性测试
实验仪器:JW-BK300C(制造商:北京精微高博仪器有限公司)
JW-MIX 100(制造商:北京精微高博仪器有限公司)
实验背景:
通常在常压区(<1bar),吸附依靠范德华力,微孔孔壁间距相近,导致其孔内部势能显著增强,对CO2分子相互作用力增加;并且CO2分子动力学直径为0.33nm,微孔孔径尤其是0.4nm-0.9nm孔是CO2动力学直径的2-3倍,在表面形成单层至三层吸附,增加吸附量。因此,丰富的微孔孔径分布(孔体积占比高) 更加有利于常压吸附。而对于高压区(>1bar),吸附仍然是依靠范德华力相互作用力,但在高压下,加速了CO2分子的扩散速率至材料的表面及大孔覆盖,因此,吸附剂的总比表面积越大、介孔孔分布越丰富、总孔体积越高,将更加有利于高压吸附。对于研发中的固体吸附剂,最终目的是应用到实际工况下,需要了解小于15%CO2/N2混气工况下的动态吸附过程至关重要,尤其需要研究有效吸附量、选择性、吸附过程中的传质动力学行为(传质扩散系数)。
首先通过低温氮吸附法(77K)测量多孔碳材料(固体吸附剂)的比表面积、孔体积、孔径分布研究其结构性能; 其次测量吸附剂分别对于单组分CO2、N2在常压下的饱和吸附量;最后通过测定穿透曲线,研究材料在实际工况下即常温常压、5%CO2/N2混气条件下得到多组分的有效吸附量以及选择性;更重要的是通过色谱法和零长柱法,分析得到了吸附质气体在固相吸附剂中的传质扩散系数,即宏观角度测试吸附质在轴向的扩散系数,微观角度径向内扩散系数
结果与讨论:
采用液氮温度表征多孔碳材料的结构信息,从N2吸脱附曲线(见图3a),1号、2号材料在p/p0小于0.1时,吸附量陡增,属于I型等温线,说明其含有丰富的微孔;当p/p0介于0.5-1之间出现H4型滞后环。此外,根据BET方程,相较于1号材料, 2号多孔碳的比表面积(1189m2/g)大,T图法计算微孔比表面积接近总比表面积,也证明其含有大量的微孔。从孔径分布(见图3b、c)分析,两种材料均含有极微孔与超微孔,2号多孔碳的最可几孔径小于1号;经过计算微孔体积占比,虽然2种多孔碳微孔体积占总孔体积都在90%左右,但2号多孔碳微孔体积比1号材料大25%。

进一步探究在常温下常压下多孔碳材料对于CO2、N2吸附行为。从图4a得到,2号多孔碳CO2的吸附量为4.35mmol/g高于1号材料,如前所述,在常压区(<1bar),吸附依靠范德华力相互作用力,丰富的微孔孔径分布(孔体积占比高) 更加有利于常压吸附。而对于N2吸附,两种材料均表现出远低于CO2的吸附性能,在常压时仅有0.5mmol/g的吸附量。因此,两种多孔碳均可以对CO2、N2进行吸附分离。根据理想溶液吸附理论计算含有5%CO2时的选择性,2号碳材料达到35,大于1号材料的选择性,证明了2号多孔碳更高效的常压吸附CO2性能。

研究了两种多孔活性炭在实际工况下即常温常压、5%CO2/N2混气条件下动态选择性吸附行为。如图5所示,两种多孔碳穿透曲线具有相同的趋势,首先N2在短时间内达到饱和吸附,随着吸附进行,由于CO2的吸附占比吸附位,已经吸附N2发生解析,导致其浓度大于1,其属于弱组分;其次,CO2吸附曲线呈S型,同时穿透点时间在50s左右,远比N2吸附时间长,属于强组分;证明在混气条件下,可以将CO2有效的分离。进一步分析可以发现,相较于1号材料,2号材料的穿透点滞后,且在动态条件下,2号材料的CO2吸附量为0.75mmol/g,计算的实际选择性分离系数为35,大于1号材料。


JW-BK200C 比表面积及孔径分析仪

JW-MIX 100穿透曲线与传质分析仪
孔径范围:0.35nm-500nm
比表面范围:0.0005m2/g-无上限
中值孔径重复性(标准偏差):≤0.02nm
测试重复性(RSD):±1%

孔径范围:0.35nm-500nm
比表面范围:0.0005m2/g-无上限
中值孔径重复性(SD):≤0.02nm
比表面重复性(RSD):±1%

孔径范围:0.35nm-500nm
比表面范围:0.0001m2/g-无上限
中值孔径重复性(SD):≤0.02nm
比表面重复性(RSD):±1%
