精微高博公众号
北京精微高博仪器有限公司
Sales@jwgb.net
比表面积分析仪
介孔孔径分析仪
微孔孔径分析仪
化学吸附仪
反应评价装置
蒸汽吸附仪
穿透曲线分析仪
真密度仪
压汞仪
高压吸附仪
热分析仪
X射线衍射仪
脱气机
质谱仪
相关配件
比表面积分析仪
介孔孔径分析仪
微孔孔径分析仪
化学吸附仪
反应评价装置
蒸汽吸附仪
穿透曲线分析仪
真密度仪
压汞仪
高压吸附仪
热分析仪
X射线衍射仪
脱气机
质谱仪
相关配件
science
白炭黑是无定形二氧化硅。硅的4 价键性使其具有很强的空间成键能力,也使得无定形二氧化硅具有发达的三维网状结构。白炭黑粒子的三维网状结构以及一次粒子团聚形成聚集体过程中形成的毛细孔道,使其具有丰富的孔结构和较大的表面积。白炭黑的微观结构是其特殊用途的根本原因。丰富的孔结构及较大比表面使其具有很强的吸附、增稠、补强性能、此外化学稳定性高、阻燃和绝缘性能极佳等特性,因此白炭黑广泛应用于橡胶、牙膏、塑料、涂料、饲料、食品、医药、催化等领域。
用氮吸附法测比表面积、孔容、孔径是白炭黑性能的主要表征手段。本文主要对氮吸附法测定白炭黑比表面积和孔容试验过程及影响因素进行研究。
实验
测试仪器:BK系列
样品选择:根据白炭黑的不同应用方向选用四个方向产品进行实验研究。
结果与讨论
预处理方式的选择
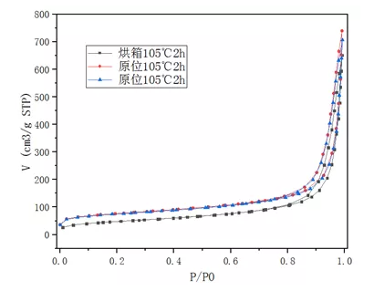
相同预处理温度105℃、时间2h时、不同的处理方式对白炭黑比表面积影响比较大。从图中可以看出烘箱和真空原位处理的等温线类似,只是在低压区吸附量真空原位处理比烘箱稍高。但是这对计算比表面积的的话影响很大。比如比面积170(复核质量0.1136)和183(复核质量0.1113)是同一样品的前后两次测试,可以看出其失重一直增加。因为烘箱预处理的脱出杂质的速率较慢,不够充分,而且主要是脱出附着水。
但是对于白炭黑,其本身除含附着水外,其吸附中心还会吸附其他气体。这些杂质气体虽然不会像附着水严重影响其失重。但当白炭黑的吸附中心被杂质气体占据时,会严重白炭黑对氮气的吸附量,使其在低压区的吸附量减小,这是因为当P/P0<0.4时只是发生多层吸附,因此吸附中心的数量严重影响吸附量进而影响比表面积数值。
对于介孔材料的BET计算时,P/P0选点范围为0.05-0.3(GB/T 10722-2014规定白炭黑选点范围为0.05-0.2)。由毛细凝聚理论可知,P/P0约0.4 时,吸附质发生毛细管凝聚,等温线迅速上升。从图中看出该样品是从P/P0>0.9时发生的毛细凝聚。这时吸附中心的数量不会对吸附量产生严重的影响,这时的主要因素是孔容的大小。这也是为什么当使用烘箱处理和真空原位处理的比表面积差异比较大,孔容差距不大的原因。
预处理温度对比表面积的影响
为考察预处理温度对白炭黑样品比表面积和孔容的影响,以105℃2h、120℃2h、160℃2h、180℃2h、200℃2h、250℃2h、300℃2h对白炭黑样品进行真空原位脱气。
增加预处理温度,导致白炭黑的比表面积增加,主要原因是因为白炭黑表面共有三种不同羟基:孤立的、未发生键合的自由羟基;距离相近而以氢键结合的缔合羟基;连接在同一个Si 原子上的双生羟基。自由羟基的存在,白炭黑极易与水分子结合,吸附大量的水。这种以物理吸附形式存在,即白炭黑表面的自由羟基通过与水分子之间形成氢键。此种吸附不牢固,升温至200℃便可将吸附的水分子脱去。
另一研究表明,对白炭黑进行热处理时,在170℃左右,氢键缔合羟基开始脱去,400℃时可去除约一半缔合羟基,750℃时几乎检测不到缔合羟基的存在。而自由羟基则表现出较好的热稳定性,在温度升至1100℃后,自由羟基才会完全消失。综上所述,白炭黑的预处理温度应该≤160℃,此外在比表面积稳定情况下应尽可能选择高的脱气温度,以缩减脱气时间。因此建议使用160℃对白炭黑样品进行预处理。
预处理温度对孔容的影响
......
如果您想获取完整版文章,可联系我们:400-600-5039